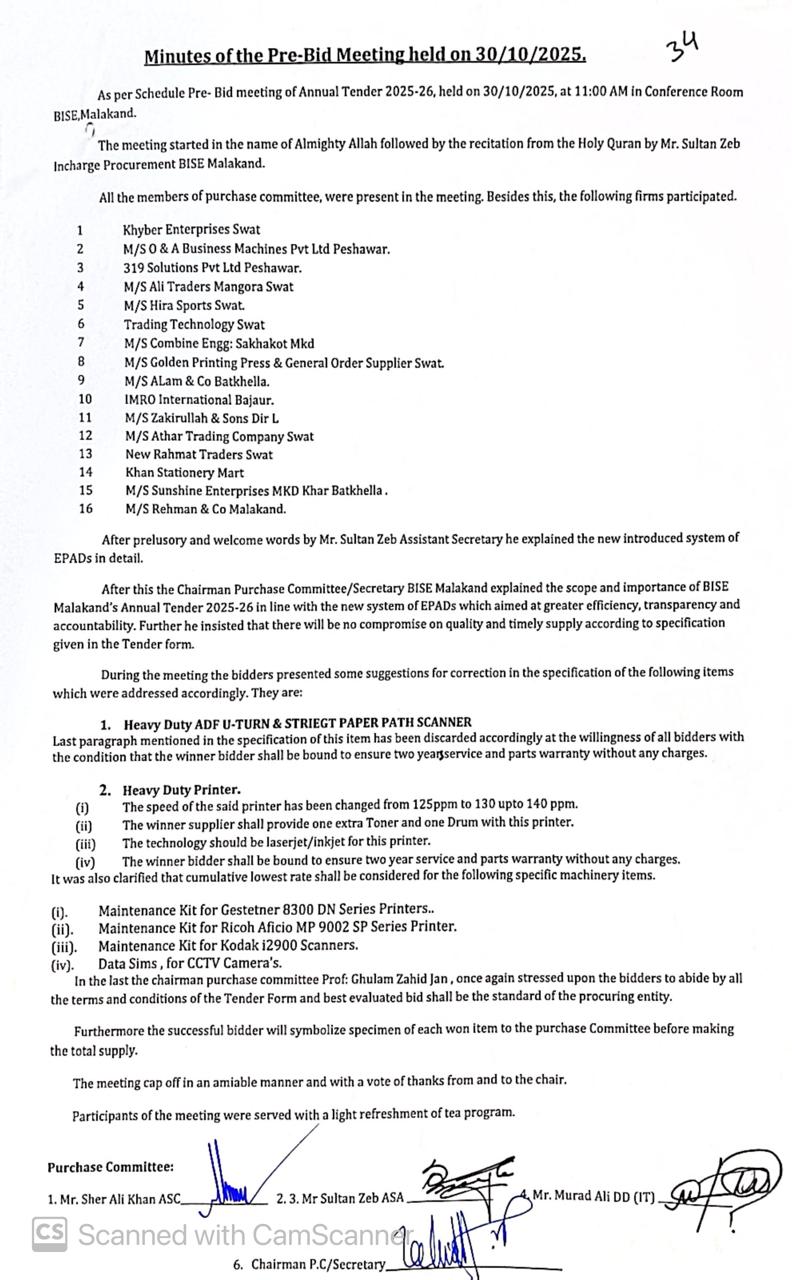
Minutes of the Pre-bid meeting held on 30-10-2025

Last updated: 05-Nov-2025,

National Talent Scholarship: HSSC Annual-I Examination 2025
National Talent Scholarship: SSC Annual-I Examination 2025
Notification: Matric (SSC) (9th & 10th) Annual-I Examination 2026 Admissions Dates and Fee
Online Migration HSSC to University/NOC
HSSC Annual II Lab Search for Practical Exam 2025
Better Marks Policy: Practical/Theory
Online Cheque Inquiry
Press Release: HSSC Annual-II (Part-I & Part-II) Examination 2025 Started
Establishment of Control Room for Intermediate (HSSC) Annual-II Examination 2025
Appointment as Resident Inspector in the HSSC (Annual-II) Examination 2025
Minutes of the Pre-bid meeting held on 30-10-2025
Roll Number Slips HSSC Annual II Exam 2025
General Notice Regarding Pre-bid Meeting for Annual Tender 2025-26
Date Sheet: HSSC Annual-II Examination 2025
ANNUAL TENDER 2025-26
National Talent Scholarship: HSSC Annual-I Examination 2025
National Talent Scholarship: SSC Annual-I Examination 2025
Notification: Matric (SSC) (9th & 10th) Annual-I Examination 2026 Admissions Dates and Fee
Online Migration HSSC to University/NOC
Better Marks Policy: Practical/Theory
Press Release: HSSC Annual-II (Part-I & Part-II) Examination 2025 Started
Establishment of Control Room for Intermediate (HSSC) Annual-II Examination 2025
Appointment as Resident Inspector in the HSSC (Annual-II) Examination 2025
Minutes of the Pre-bid meeting held on 30-10-2025
Roll Number Slips HSSC Annual II Exam 2025
General Notice Regarding Pre-bid Meeting for Annual Tender 2025-26
Date Sheet: HSSC Annual-II Examination 2025
Control Room: SSC A-II 2025
Notification Revised: Registration 2025-2026 Normal Fee Date Extended
HSSC ADMISSION A-II NORMAL FEE DATE EXTENDED